整合营销服务商

电脑端+手机端+微信端=数据同步管理

免费咨询热线:

2022年全国名校模考作文(83)对于“慎思”“明辨”的理性思考

真题再现

22.阅读下面的材料,根据要求写作。(60分)

《礼记·中庸》曰:“博学之,审问之,慎思之,明辨之,笃行之。”其中“慎思”“明辨”的意思是谨慎周密地思考、清晰明确地分辨,它们强调了理性思考在治学中的重要性。其实不只是治学,我们在学习、生活中,也都离不开“慎思”“明辨”这样的理性思考。

请结合材料,联系现实生活写一篇文章,体现你的感悟与思考。

要求:选准角度,确定立意,明确文体,自拟标题;不要套作,不得抄袭;不得泄露个人信息;不少于 800 字。

★★★审题指导:

2022年郑州三检作文审题指导

郑州一中 侯巍

1.审原材料——2022年郑州三检作文和郑州一检作文以及2021年河南卷(全国乙卷)作文一样,都由一句古人的名言导入,但难度有所降低。

后两个属于话题类关系型作文,前者只提供了一个话题“慎思”“明辨”即“理性思考”。如下两篇文章可供对比参考。

(1)2022年郑州一检“名位”“才能”之与“自我价值的实现”写作指导+名师下水范文+评析

(2)河南八大名师同写2021河南卷高考作文(含解析)

2.审情境限制——和2021年河南高考卷作文、2022郑州一检卷作文一样。作文命题没有设置具体的情境限制和实用类文本写作要求。只需注意原材料中“我们在学习、生活中”一句,“我们”要求体现青年的身份,“在学习、生活中 ”要求文章接地气,有生活。这是防止考场作文为了宿构和套作有效手段。详见——

郑州一中侯巍:接地气、有灵气、讲正气,中学生活如何写出好作文

3. 审驱动任务——“请结合材料,联系现实生活写一篇文章,体现你的感悟与思考。”是命题老师精心涉及的驱动任务。这里我强调如下几点。

首先,作文不能脱离原材料。古人名言对后代人的精神遗言,解读名言不只是为了认清其中的哲理,而是要通过对名言的解读来提高自己现实中的素养,沉淀个人智慧,关照现实生活,解决实际问题。因此,结合原材料,最好是开头就联系原材料,以此拟定标题,启动文章。

其次,要“体现你的思考和感悟”。这一驱动任务,这要求学生写出属于自己的思考和感悟,不能人云亦云,更不能照抄照搬。

作文写作需要理性思考与理性表达,就此我写作一篇小论文,详见——

议论文的理性思考与理性表达||作文微技法+范文+点评

在我们的学习和生活中更需要“谨慎周密地思考、清晰明确地分辨”。即“理性思考”。

学习方面,我们可以谈习求真上的“三不迷信”——不迷信教师,不迷信课本,不迷信名人和权威。

可以引用“尽信书不如无书”、“奇文共欣赏,疑义相与析”、“一千个读者就有一千个哈姆莱特”、“人非圣贤,孰能无过”、“千教万教教人求真,千学万学学做真人”等名言。

可以举如下例子:爱因斯声称“把引力场方程加入宇宙学常数”,是他一生中所犯下的最大错误;伽利略在比萨斜塔做自由落体实验;哥白尼推翻“地心说”,提出“日心说”;加来道雄“弦物理的提出”及其与“不可能事物”一生的恋情;霍金对宇宙永无止境的探索,黑洞曾经被认为是科学幻想,爱因斯坦还曾为之“证明”,如今我们已观察到数千个黑洞等。

物理学家对“永动器”的探索虽然以失败告终,但却迫使他们提出了能量守恒和热力学定律,在某种程度上为以蒸汽机、机械制造为代表的现代工业奠定了基础。

正如威廉·奥斯勒爵士所言:“一个时代的信仰在下一个时代成为谬误,过去的荒唐愚蠢却成为明日的睿智。”

生活中,我们可以谈“全媒体时代的网络求真”和“明辨谣言,科学抗疫”。

清代赵翼的《论诗·其三》:只眼须凭自主张,纷纷艺苑漫雌黄。矮人看戏何曾见,都是随人说短长。认为生活中的各种说法常常不顾事实,信口雌黄,因此对错互见,深浅不一。唯有慎思明辨,理性思考,才能还原真相。

纷纷扰扰的互联世界和谣言四起的抗疫过程,能为“两耳肯闻天下事”的高中生提供取之不竭的作文素材。每一次网舆热点,都掺杂瞒与骗,需要我们擦亮双眼,慎思明辨。

4. 对标“双核心”——“双核心”即“社会主义核心价值观“和“中国学生核心素养”。考场作文不是能够自圆其说即可,符合主流价值观的立意,尤其是契合社会主义核心价值观的立意和指向中国学生核心素养的立意,往往是最佳立意。

从中国学生发展核心素养的角度解析,该命题直接考查学生的“科学精神”层面的素养,包含“”理性思维”“批判质疑”“勇于探究”三个基本点。

错误800说少了个文件_文件错误800017_文件错误数据可能丢失怎么办

文件错误800017_错误800说少了个文件_文件错误数据可能丢失怎么办

对标“社会主义核心价值观”,考场作文要注意选材得当,议论合宜。比如,选择有正能量的素材,讴歌真善;发表讲正气的言论,激浊扬清;不违背核心价值观任何一个层面的要求等。

错误800说少了个文件_文件错误数据可能丢失怎么办_文件错误800017

5.审常规要求——常规要求是作文在文体、字数、原创度等方面的要求,本次作文常规要求非常“常规”,从略。

本平台和本次命题比较接近的文章有——

(1)“热媒体 冷思考”哲理诗作文详讲细评及范文集

(2)2022高考创预测+解析+范文(网络,一半真相,一半谎言)

(3)河南六市联考作文:疫情相关“科学与理性”主题作文精讲细品及名师范文展

★★★优秀标题

《世事纷扰 理性思考》

《世界纷乱 慎思明辨》

《慎思明辨 理性思考》

《至高无上 唯其真相》

《勤于学习 理性思考》

《慎思明辨 笃行致远》

《执经问难 慎思明辨》

《勿随他人道短长》

《世界漫雌黄 求真考思量》

《新媒时代更需慎思明辨》

《用理性灯塔照亮人生之路》

《莫做谣言的制造者和“搬运工”》

一线教师下水范文1

慎思明辨 理性思考

郑州一中 侯巍

学习离不开思考,孔圣人曾经说过:“学而不思则罔,思而不学则殆”。学是思的基础,思是学的深化;生活亦离不开思考,生活如土,思考是铲。只有学会思考,才能掘开生命的泉水。面对学习和生活,我主张“慎思明辨,理性思考”。

学习上,面对疑团,慎思明辨,理性思考,方为正途。

爱因斯坦说:“学习知识要善于思考,思考,再思考。我就是靠这个方法成为科学家的。”他常常从一点小事中受到启发,经慎思明辨,得出伟大结论,不小心从梯子上掉下来,他想到“物体总是沿着阻力最小的线路运动”;牛顿也是如此,被苹果砸中,他从中推导出万有引力定律;袁隆平说:“要尊重权威但不迷信权威,要多读书但不能迷信书本。”他不信“水稻是自花授粉作物,没有杂种优势”的结论,通过反复的观察和实验,终于研究成功了三系杂交水稻,收获了“喜看稻菽千重浪”喜悦。伟人的成功,为我们的求学之路指明了方向。

生活中,面对谣言,慎思明辨,理性思考,方为正道。

马克·吐温曾说“真理还在穿鞋的时候,谎言已经跑遍了半个世界。”我们现在所生活的时代,是人人都有麦克风的自媒体时代。君不见,奇葩寄居互联网,引爆流量键盘忙;真相意外大反转,围观群众吃瓜香。没有理性思考,真相蒙尘,没有慎思明辨,真理无光。这样的时代,我们不爱!

不顾事实真相的网络暴力导致很多自杀事件的发生。去年年底,15岁的寻亲男孩刘学州因网暴自杀;今年年初,韩国男排运动员和女主播被网暴后双双自杀;明星乔任梁自杀五年后,其家人仍在遭受网爆;一个月前,上海一女子因200元快递费被网爆,跳楼轻生……

不顾事实真相的疫情谣言,让我们的防疫工作举步维艰,雪上加霜。2020年疫情乍起,我们就看到,与病毒齐飞的,还有形形色色的谣言与流言: “双黄连对治疗新冠有奇效”“家养宠物携带新冠病毒”“5G信号传播新冠肺炎”;2022疫再起,仅上海一地就有“居委倒卖20万箱捐赠物资”“市民信息登记不全导致核酸白做”“宝山方舱隔离人员睡纸箱”“‘黑快递’为了赚钱”“原浦东新区北蔡镇领导倒卖保供物资”等诸多不实消息充斥网络……以上种种,不但影响到疫情防控顺利开展,还破坏了我们安定团结的社会局面。

综上而言,在学习和生活中,我们一定要学会思考,慎思明辨,只有这样才能另辟蹊径,荣登绝顶,只有这样,才能拨开团团迷雾,拥抱湛蓝天空!

一线教师下水范文2

明辨析前路,慎思向未来

郑州市第七高级中学 丁智会

“不审不聪则谬,不察不明则过。” “慎思”与“明辨”对于我们有着非常重要的意义。二者不仅是我们行动的起点,也应伴随我们行动的始终。

“深处种菱浅种稻,不深不浅种荷花。”慎思、明辨,我们才能找到适合自己的路。

慎思是对内心的殷切叩问,明辨是对选择的反复忖度。慎思才知心灵之真实声音,明辨方知路向何方。观之古:陆羽不喜礼佛,倾心茶艺,以《茶经》之幽香氤氲历史千年。视之今:无慎思,褚时健怎会在74岁时在哀牢山上种满橙树?无明辨,他又怎会以电商销售渠道卷起“褚橙”风云?慎思与明辨的过程是深邃的,也或许是苦痛的,伴随着对过往得与失的反刍,对未来阴晴不定的担忧,但思索与辨别后,必有阳光照进罅隙,未来的路将通向那阳光明媚处。

“不畏浮云遮望眼,自缘身在最高层。”慎思、明辨,让我们拨开浮云,守得月明。

这是个信息汹涌而至的时代,也是人人握有麦克风的时代。海量信息欲将我们淹没,“键盘侠”们评头论足,混淆视听。孔子曾说:“众恶之,必察焉;众好之,必察焉。”而现实中,很多人却丧失了慎思的能力和明辨的技能。他人赞,我亦鼓掌;他们弃,我也唾骂。今年初,寻亲男孩刘学州不堪网暴重负,结束了自己年仅17岁的生命。4月份,上海的一名女子给快递小哥打赏200元酬谢他给自己父亲送菜,却被网暴“没良心,特殊时期打赏太少”,最终她不堪重负而自杀。残存的血迹在警醒我们,对社会现象慎思之,对问题是非明辨之,不仅仅关系个人悲喜,也关乎万千悲欢和社会的和谐发展。

“挽狂澜于既倒,撑大厦于断梁。”慎思、明辨,镌刻于我们民族发展的血脉中。

回溯历史长河,我们民族的每一次大发展都镌刻着先驱者和领导者慎思和明辨的印迹。风雨飘摇,红船斩浪,革命先驱们慎思而明辨,确定了中国革命的发展道路;春风普度,点燃梦想,党中央慎思而明辨,揭开了中国改革开放的序幕;大道致远,海纳百川,新时代领导人发出“一带一路”的倡议,引领世界开启新的发展航程…… 慎思是一种态度,明辨是一种智慧,它镌刻在我们的民族基因里,让我们懂得回首过往,环视寰宇,审时度势,眺望未来。让我们走好脚下的每一步,并通向烨烨之未来。

鲁迅先生说:“要运用脑髓,放出眼光,自己来拿。”看,慎思后,苏炳添勇敢跨出新的起跑脚;听,明辨后,柏拉图勇敢地对苏格拉底手中的苹果说“不”。唯慎思之,明辨之,我们自身和我们的民族方能永沐朝阳,邂逅不老的风景。

一线教师下水范文3

慎思显理性,明辨再笃行

中牟一高 胡记霞

踏上幽幽古道,扶着老槐盘桓的虬根,我感受到了推动历史巨轮前行的理性思考的力量。四大发明、自由落体、量子力学、宇宙探秘,无不散发出理性思考的光芒。正如材料中所言,学习、生活都离不开理性思考,吾辈青年当博学多识,以慎思显理性;质疑审问,先明辨再笃行。

浅水喧闹,深潭无波。浅尝辄止不可行,明辨慎思出真知。

在这个碎片化信息盛行的互联网时代,快速阅读、浏览自媒体新闻,躺着“听书”、刷抖音及类似短视频已渐渐成为人们的生活习惯。当我们似乎学习得很多的时候,忘记的也很多;当我们不经理性思考与辨别而去肆意评论、转发信息的时候,已然成了传播网络谣言的帮凶。学习上的肤浅与抄近道,使人们少了思考力,少了辨别力,少了联想力,也少了执行力。作为青少年的我们应该意识到,只有理性思考、深度学习,才能从海量信息中辨别真伪,把学到的知识融会贯通加以运用,从而提升自己。

打破思维局限,释放理性之光。拨开云雾,慎思笃行。

理性思考,学有所悟,而后笃行。复旦大学博士李小康的130行代码,充分说明了理性思考改变生活的道理。面对核酸截图“查验难”的问题,李小康勤于动脑,透过表象,理性思考,运用所学知识,解决实际问题。800幅截图,原来要几个人核对一个多小时,现在只需等2分钟,程序就会自动输出核查后的Excel文件结果。李小康博士的成功告诉我们,读书学以致用,遇事理性思考,能让生活便利,也能让自己成功。

以理性思考之微光,造炬成阳;用慎思明辨,扛起青年担当。

巴尔扎克说:“一个能理性思考的人,才真是一个力量无边的人。”雨果也说:“哪里有思考,哪里就有威力。”理性思考对于个人的成长进步有着重要的意义,吾辈青年当用理性思维,扛起青年担当。面对互联网上的海量信息,我们应树起担当意识,理性分析,正确判断,去伪存真,做到“乱云飞渡仍从容,我自岿然不动”;面对纷繁复杂的国际形势,我们更要树立担当意思,理性分析,通过深度学习知识来充实自己,不负时代重托,扛起中国圆梦的大旗。

朝阳射进古道,光芒万丈。风吹过落叶,簌簌作响。我知道,他们定是在为我伴奏,向我诉说着“博学多识,慎思理性”,向我倾诉着“审问质疑,而后笃行”,向我歌唱着,懂得理性思考,定能收获成功!

身份证最后一位是X的人,受了多少苦?

“为啥我的身份证号码最后有个叉?我看大家的都是数字啊。是不是因为我特别厉害?X战警!”

家里的“神兽”忽然指着户口簿上自己身份证号的X,发出了一连串的疑问。看着孩子这么开心,我真不忍心告诉他这个X会带来多少小麻烦。

校验码是身份证的第几位_验证码校验中什么意思_身份证上的校验码是干什么的

社交网站上,“X之人”诉说着X之痛丨微博

到网上随便搜一搜,就能发现有很多“X之人”对默认密码的抱怨。对于身份证尾号是数字的大部分朋友来说,“后六位”作为各种账号、证件的初始密码是一件习以为常的事。但对于身份证尾号是X的“天选之子”就没那么简单了。

不仅不同系统要求X的大小写不一样,有的甚至把“X之人”的初始密码设置成去除X后再向前顺推一位……这谁能一次性输入正确啊!

身份证上的校验码是干什么的_验证码校验中什么意思_校验码是身份证的第几位

“X之人”:要不然你们这些系统“打一架”吧,谁赢了用谁的规则

既然这么麻烦,为啥身份证号码非得弄个字母X。这些人又是怎么被选中成为“X之人”?

掐指一算,你是X

末尾X的诞生,其实全靠前17位数的“支持”。

现在通行的身份证是第二代居民身份证,其中的18位身份证号码,也成了每个人都刻在脑子里的数字。身份证号末尾的X代表的也是数字,表示数字“10”。

校验码是身份证的第几位_身份证上的校验码是干什么的_验证码校验中什么意思

第二代居民身份证的正面是国徽、证件名称、签发机关和证件有效期,背面是照片和登载的个人身份信息,其中最后一行公民身份号码,就是平时俗称的“身份证号码”。丨居民身份证式样,公安部行业标准《居民身份证总体技术要求》GA/T 448-2021

公民身份号码共有18位数字:

6位地址码,按照《中华人民共和国行政区划代码》(GB/T 2260)确定的,户口所在地县一级行政区划代码。由于行政区划代码在历史上经过多次修订,所以就算是同一个地区出生的人,前六位也不一定相同。

8位出生日期码,四位数年份+2位数月份+2位数日期。

3位顺序码,男性为奇数,女性为偶数。

最后再加一位校验码。

校验码是身份证的第几位_身份证上的校验码是干什么的_验证码校验中什么意思

公民身份号码结构丨国家标准《公民身份号码》GB11643—1999

身份证上的校验码是干什么的_验证码校验中什么意思_校验码是身份证的第几位

身份证号码充满了“随机性”——我们没法计划自己何时出生、出生在何地。不过最后的这位校验码,却成了“不确定中的确定”。只要前17位都定下来了,最后这一位数字也就确定了。它是通过一套算法,将前17位数字代入运算得出来的数字。

这样费劲算数的目的,是为了以后检查错误更方便。身份证号码在输入的时候可能出现各种错误,除了漏字、多字这种位数显而易见的错误外,输错数字都不容易被发现。校验码则可以“反推”出身份证号码是否录入正确,甚至可以识别出相邻两位填反、错位等错误。

当然,校验码只是为防止随机发生的错误,它不能检查出有意的伪造错误,也不能用来自动更正发现的错误。

校验码是身份证的第几位_验证码校验中什么意思_身份证上的校验码是干什么的

现有的身份证输入系统大多会自动计算你填的号码对不对

咋还算出了数字10?

结尾出现X,都得“怪”这套校验算法。这套算法采用的方法是取模11,得出的计算结果范围是0到10。但身份证只有18位,结尾变成10就多了一位。这才把10的“重任”交给X来表示。

温馨提示:如果你晕公式,可以跳过这段……

身份证最后一位的算法采用的是 ISO 7064 《数据处理——校验符系统》中给出的 MOD 11-2 校验码系统。这里的MOD 11-2表示模数是11,基数是2。也就是校验公式(见下)中,需要将总数除以11(模数)并取余数,而每个位置上的加权因子是通过以2(基数)为底的几何级数算出来的。

校验码是身份证的第几位_验证码校验中什么意思_身份证上的校验码是干什么的

公民身份号码校验公式丨国家标准《公民身份号码》GB11643—1999

身份号码中的校验码位于最右边,所以它位置序号i=1,对应的加权因子W1也等于1。按照公式,我们需要将身份证号码中其他各个位置上的数字都乘以对应的因子,把它们加起来得到总数,再将总数除以11并取余数。如果这个余数加上校验码(乘1还是本身)以后,除以11的余数是1,那就说明这个号码能够满足公式的校验。

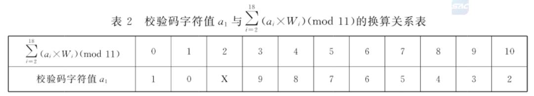
为了方便计算,国家标准中直接给出了校验码a1和余数的换算关系对应表:

身份证上的校验码是干什么的_校验码是身份证的第几位_验证码校验中什么意思

来源:国家标准《公民身份号码》GB11643—1999

举个例子:

验证码校验中什么意思_校验码是身份证的第几位_身份证上的校验码是干什么的

校验码计算范例丨国家标准《公民身份号码》GB11643—1999

因为模数是11,所以最后的结果有0~10共10种可能性,为了保证校验码只占1个字符位置,当算出来的 a1 等于10时,在身份证上用罗马数字符X表示。

(耶,X终于出现了!)

验证码校验中什么意思_校验码是身份证的第几位_身份证上的校验码是干什么的

简单点说,X的出现是因为模数取了11。设计校验算法,是希望让算法尽可能覆盖到常见的身份证号码录入错误。对于取模11的情况而言,ISO 7064 标准的附录A给出了该算法的有效性:能识别到所有的单替换、单换位和位移错误,对双替换错误的识别率也有90%。

不要X行不行?

相对而言,取模10虽然能避免X的出现,但它对相邻两位互换错误的识别率较低,也导致当存在2位或更多错误时,无法保证90%的识别率。

另外一种避免X出现的思路是,不使用会产生校验字符值为10的号码串。但因为身份证号码的前14位基本是固定生成的,除去校验码,只有最后三位数顺序码能调整。这样一来,同一地区同一天内可容纳的号码数量就少了许多。

挪威的身份证号码共11位数字,前六位是以DDMMYY(日-月-年)顺序排列的出生日期,接下来是3位随机码和2位校验码。第一位校验码负责校验1~9位数字,第二位校验码负责校验1~10位数字。他们要算两遍,而且权重还不一样。

挪威的校验码算法也是模11,为了避免出现X,他们弃用了所有会产生校验字符值为10的号码串。这导致他们损失了约17%的可用容量。

冰岛的身份证号码跟挪威有点像,校验码算法也是模11。为了避免出现X,他们也弃用了所有会产生校验字符值为10的号码串。只有2位随机码,导致冰岛每天大约只能同时出生80个人……考虑到冰岛的总人口仅约37万,按2020年1.5%的人口增长率来算,80个也还算充裕。

无处不在的校验码

除了身份证,有很多需要用到一串数字来表示的代号里都有校验码。

有些校验码不止会出现X。比如我国现行的法人和其他组织统一社会信用代码由18位阿拉伯数字或大写英文字母(不使用I、O、Z、S、V)组成。其中第17位是第9~16位的校验码(模11)。第18位是对前17位进行校验的校验码,虽然也使用 ISO 7064 的校验码系统,但为了兼容可能存在的英文字母,所以选取了MOD 31-3的算法系统。算出来的校验值可能的取值范围是从0~30,用A~Y的大写英文字母(不含I、O、Z、S、V)代表10~30之间的数字。

我们生活中常用的二维码其实也有校验功能。QR码的生成程序在将信息写入二维图案的时候,会使用名为BCH编码的纠错码生成算法,将冗余信息写入图案中。通过专门的解码算法,程序不但能校验出数据有没有错误,还能知道错误在哪,以便程序自动校正、恢复数据。容错等级最高的QR码支持在多达30%数据无法读取的情况下还能正确还原完整信息。

验证码校验中什么意思_校验码是身份证的第几位_身份证上的校验码是干什么的

QR码的编码结构丨Wiki Commons

在生活中,有很多数字和字母都在暗暗校验着某些标签正确与否。虽然有时候“X之人”会遇到些小麻烦,但校验码还是帮人们避免了不少难以察觉的错误。

对于不同的系统而言,设计代码时使用了不用的数据类型,导致有的可以读取X,有的却不能。从而出现了各不相同的规则来限制最后一位的输入。

总之,希望各个系统能早日统一最后一位的输入规则吧,“X之人”真的累了。(狗头)

参考文献

[1] GA/T 448-2021 居民身份证总体技术要求.

[2] GB 11643-1999 公民身份号码.

[3] 姚先锋. 如何用Excel读取二代身份证的相关信息[C]//.2013年度江苏省测绘学会年会论文集.,2013:123-124.