整合营销服务商

电脑端+手机端+微信端=数据同步管理

免费咨询热线:

GSM系统组成(转)

一、第一代模拟网络的简介和缺点(当时也叫类比网络)

当时典型的系统有:AMPS、NMTS、TACS(它是频分多址的模拟移动通信系统)

(一)系统制式混杂,不能实现国际漫游,覆盖有限;

(二)不能提供综合业务数字网ISDN业务(ISDN是以电话IDN综合数字电话网为基础发展演变而成的通信网,能够提供端到端的数字连接,提供包括语音和非话在内的多种电信业务,用户能够通过一组有限的多用途用户/网络接口接入网内,并按统一的规程进行通信。);

(三)系统设备价格高,手机体积大,电池充电后有效工作时间短;

(四)用户容量受到限制,系统扩容困难,而且讯号不好;

(五)系统保密性差、安全性差,易被破解窃听。

二、第二代GSM数字移动通信系统简介及优点(也叫数位网络)

它是一个泛欧式的移动通信系统主要代表有TDMA、CDMA、PDC与 i DEN,1990年从欧洲发展而来。

(一)优点是:

(1)频谱利用率更高,进一步提高了系统容量

(2)GSM提供了一种公共标准,便于实现全自动国际漫游,在GSM系统覆盖到的地区均可提供服务

(3)能提供新型非话业务

(4)信息传输时保密性好,入网信息安全性好

(5)数字无线传输技术抗衰落性能较强,传输质量高、话音质量好

(6)可降低成本费用,减小设备体积,电池有效使用时间较长

(二)主要技术及参数。

(1)频段:

a)下行:935~960MHz(基站发,移动台收);

b)上行:890~915MHz(移动台发,基站收);

(2)频带宽度:25MHz;

(3)通信方式:全双工;

(4)载频间隔:200KHz;

(5)信道分配:每载频8时隙;全速信道8个,半速信道16个(TDMA);

(6)信道总速率:270.8kbit/s;

(7)调制方式:GMSK,BT=0.3;

(8)话音编码:RPE-LTP,输出速率为13kbit/s;

(9)数据速率:9.6~14.4kbit/s;

(10)跳频速率:217跳/秒;

(11)每时隙信道速率:33.8kbit/s

(12)分集接收,交织信道编码,自适应均衡…

三、GSM系统的组成及网络机构

(一)整体组成:

(1)网络子系统NSS(交换子系统SS )

a)移动业务交换中心MSC、归属用户位置寄存器HLR、访问用户位置寄存器VLR、鉴权中心AUC、设备识别寄存器EIR

(2)基站子系统BSS

a)基站控制器BSC、基站收发信机BTS

(3)操作维护子系统OSS

a)操作维护中心OMC

(4)移动台子系统MS

四、详细介绍系统组成各个部分

(一)NSS

1.功能:GSM系统的交换功能;用于用户数据管理、移动性管理、安全性管理所需的数据库功能;对GSM移动用户间通信和GSM移动用户与其它通信网用户间通信的管理作用

2.组成:

(1)MSC

(2)数据库:HLR、VLR、AUC、EIR

3. MSC

(1)是网路的核心

(2)完成系统的电话交换功能

a)呼叫建立、控制、终止;选路;

b)业务的提供;计费处理;区内切换;

c)功能实体间及网络间接口;公共信令等

(3)从HLR、VLR、AUC中获取位置登记和呼叫请求所需的数据

(4)提供移动性能和其他网络功能

(5)……

(6)类型

a)普通MSC

b)网关MSC(GMSC):网间互通

c)汇接MSC(TMSC):长途汇接

4.HLR

(1)用于管理移动用户的数据库,静态数据库

(2)存储信息:

a)用户信息:用户的入网信息,注册的有关业务信息等;

b)位置信息

c)分配给移动用户的两个号码:IMSI、MSISDN

5.VLR

(1)服务于其控制区域内移动用户 提供建立呼叫接续的必要条件

(2)存储信息:进入其控制区域内已登记的移动用户的相关信息

(3)动态用户数据库

6.AUC

(1)属于HLR的一个功能单元

(2)用于GSM系统的安全性管理 ,对无线接口上的话音、数据和信号信息进行保密,防止无权用户接入系统,并保证通过无线接口的移动用户信息的安全

(3)存储信息:鉴权信息和加密密钥

7.EIR

(1)防止非法使用偷窃的、有故障的或未经许可的移动设备

(2)存储信息:移动设备的国际移动设备识别码(IMEI)

(二)BSS

1.与无线蜂窝方面关系最直接的基本组成部分

2.功能:

(1)通过无线接口直接与移动台相接,负责无线收发和无线资源管理

(2)与网络子系统中的移动业务交换中心相连,实现移动用户间或移动用户与固定网用户间的通信连接,传送系统信号和用户信息

3.BSC

(1)BSS的控制部分

(2)各种接口的管理、无线资源和无线参数的管理

(3)控制切换,移动台功率控制

4.BTS

(1)BSS的无线部分

(2)由BSC控制并服务于某个小区的无线收发信设备,完成BSC与无线信道间的转接,实现BTS与MS间的无线传输及相关的控制功能

(三)OSS

(1)内容:移动用户管理、移动设备管理及网路操作和维护

(2)网路操作和维护:对GSM系统的BSS和NSS进行操作和维护的管理,由OMC完成

a)网络的监视、操作(告警、处理等);

b)无线规划(增加载频、小区等);

c)交换系统的管理(软件、数据的修改等);

d)性能管理(产生统计报告等)

(3)移动用户管理:用户数据管理和呼叫计费

a)用户数据管理一般由HLR来完成,包括 SIM卡的管理

b)呼叫计费可由移动用户所访问的各MSC和GMSC分别处理,也可采用通过HLR或独立的计费设备集中处理

(4)移动设备管理是由EIR完成

(四)MS

(1)用户使用的设备

(2)类型:手机、车载台、便携台

(3)通过无线接口接入GSM系统的通常的无线处理功能;提供与使用者间的接口

(4)用户识别模块SIM:

a)包含所有与用户有关的信息和某些无线接口的信息,其中也包括鉴权和加密信息

b)处理异常的紧急呼叫时(如119、110、120、122等),可以不插入SIM卡

五、网络结构

(一)无线覆盖区域结构

本少是杀手下载奇书网_移动本地本网是指什么_四川养老院的地指

(二)GSM移动业务本地网的网络结构

(1)规模较小的本地网

四川养老院的地指_本少是杀手下载奇书网_移动本地本网是指什么

(2)中规模移动本地网

四川养老院的地指_本少是杀手下载奇书网_移动本地本网是指什么

(3)大规模移动本地网

移动本地本网是指什么_四川养老院的地指_本少是杀手下载奇书网

(三)GSM话路网的网络结构

(1)二级网络结构

移动本地本网是指什么_四川养老院的地指_本少是杀手下载奇书网

(2)三级网络结构

a)业务量大的三级网络

四川养老院的地指_移动本地本网是指什么_本少是杀手下载奇书网

b)业务量小的三级网络

四川养老院的地指_移动本地本网是指什么_本少是杀手下载奇书网

(3)二三级混合的结构

四川养老院的地指_移动本地本网是指什么_本少是杀手下载奇书网

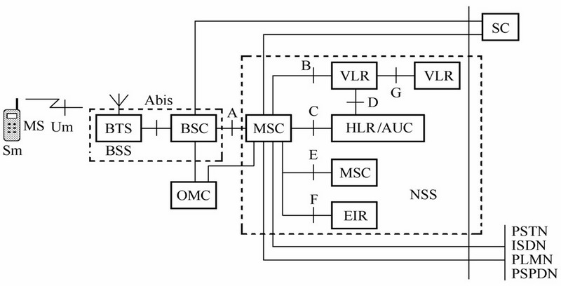
六、GSM系统的总体框图

四川养老院的地指_本少是杀手下载奇书网_移动本地本网是指什么

说明:

(1)MS移动台、

(2)OMC操作维护中心、

(3)MSC移动业务交换中心

(4)SC短信业务中心、

(5)HLR归属位置寄存器、

(6)AUC鉴权中心

(7)VLR来访位置寄存器、

(8)BSC基站控制器、

(9)BTS基站收发心台

(10)EIR移动设备识别寄存器、

(11)PSTN共用电话网、

(12)ISDN综合业务数字网

(13)PSPDN分组交换共用数据网、

(14)MAP移动应用部分、

(15)TUP电话用户部分

移动本地本网是指什么_本少是杀手下载奇书网_四川养老院的地指

(16)BSSAP基站子系统应用部分

七、GSM网络和其他网络的互联

(一)移动网与其他网络之间应设置接口局

(1)接口局的数量应尽量少

(2)接口局可独立设置,也可兼设

(二)互联双方的接口局作为网间结算的计费点对来去话进行计费

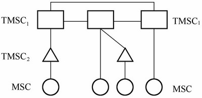
(三)GSM话路网与No.7信令网的关系

(1)信令网与话路网相对独立

(2)话路网和信令网 间的关系:

a)TMSC1连到HSTP(高级信令转接点)

b)TMSC2和MSC连到LSTP(低级信令转接点)

c)MSC设信令点SP

移动本地本网是指什么_本少是杀手下载奇书网_四川养老院的地指

八、编号

(一)移动用户的ISDN号码MSISDN

1.主叫用户为呼叫GSM用户所需的拨叫号码

2.号码结构

(1)国家码CC:我国为86

(2)国内有效ISDN号:

a)移动业务接入号NDC(N1N2N3 ):13S(S=9~4属于中国移动;S=0~3属于中国联通)

b)HLR识别号:

c)移动用户号:ABCD

本少是杀手下载奇书网_移动本地本网是指什么_四川养老院的地指

(二)拨号程序:

(1)移动→本地固定:PQRABCD

(2)移动→外地固定:

(3)移动→移动:

(4)固定→本地移动:

(5)固定→外地移动:

(6)移动→紧急呼叫:直接拨号(如110、119、120、122、112)

(7)普通特服拨号与固定电话方法相同

其中,XYZ为长途区号;PQR为市话局端局号;ABCD为用户号

(三)国际移动用户识别码IMSI

(1)用于在国际上唯一识别移动用户

(2)结构(15位):如图所示

a)我国MCC为460

b)MNC的值中国移动为00、中国联通为01

四川养老院的地指_本少是杀手下载奇书网_移动本地本网是指什么

(四)临时移动用户识别码TMSI

(1)为了对IMSI保密,IMSI仅在空中传送一次,便由VLR给来访移动用户分配一个惟一的TMSI号码替代

(2)仅在本地有效 ,当用户离开此VLR服务区后释放

(3)由VLR临时分配

(五)移动用户漫游号码MSRN

(1)用于在呼叫时为移动用户选路

(2)VLR临时分配 ,接续完成后即释放

(3)在被访VLR区域内是惟一有效的

(六)区域识别

(1)位置区识别码LAI

结构:MCC+MNC+LAC

a)LAC用于识别移动网中的一个位置区

(2)全球小区识别码GCI

b)用于在全球范围内识别小区

c)结构:MCC+MNC+LAC+CI

CI用于小区识别

(七)基站小区识别码BSIC

(1)用于识别相邻国家、地区或不同运营商的相邻

(2)结构:NCC+BCC

a)NCC为网络色码,用于识别不同国家(国内区别不同的省)及不同运营商

b)BCC为基站色码,由运营部门设定

(八)国际移动设备识别码IMEI

(1)用于在国际上惟一地识别一个移动设备.用于监控被窃或无效的移动设备。

(2)结构(15位):TAC(6)+FAC(2)+SNR(6)+SP(1)

a)TAC为型号批准码,由欧洲型号中心分配;

b)FAC为工厂装配码,由厂家编码,表示生产厂家及装配地;

c)SNR为序号码,由厂家分配;

d)SP为备用

(3)IMEI可在待机状态下按“*#06#”读取

a)读取的IMEI码与手机后盖板上的条码标签、外包装上的条码标签应一致

(九)MSC/VLR号码

(1)在No.7信令消息中使用的、代表MSC的号码

(十)HLR号码

在No.7信令消息中使用的、代表HLR的号码

(十一)切换号码HON

目标MSC(即切换到的MSC)临时分配给移动用户的一个号码,用于路由选择

(十二)短消息中心号码

在No.7信令消息中使用的、代表短消息中心的号码

结构:

1.X1X2X3与当地的长途区号相同,两位长途区号的地区X3设为0

2.用户发送短消息前,必须先设置短消息中心号码

八、电路群的设置

(一)各移动汇接中心间及与移动端局间,设置话音专线时,电路群有低呼损电路群和高效直达电路群两类

(二)二级网络结构的长途网

(1)在一级汇接中心TMSC1间设置低呼损电路群,形成网状网

(2)移动端局或本地汇接局至本省一对一级汇接中心间设置低呼损电路群

(三)三级网络结构的长途网

(1)在一级汇接中心TMSC1间设置低呼损电路群,形成网状网

(2)二级汇接中心应与其相对应的一级汇接中心间设置低呼损电路

(3)二级汇接中心TMSC2间设置低呼损电路

(4)各移动端局与本地汇接局至本省一对二级汇接中心间设置低呼损电路群。

(四)本地网

(1)无本地汇接

A.端局间网状网相连,所有端局间设低呼损路由

B.各本地网内的端局应与上一级的汇接中心间设低呼损电路群

(2)有汇接局

A.本地网内端局间话务量足够大时应尽量设高效直达路由,通过TMm的转接,可作为端局间的第二路由

B.设有TMSC1、TMSC2的本地网,或端局业务量较大需要连到TMSC1、TMSC2的本地网。各本地网内的端局应与其一级、二级汇接中心间设高效直达路由,经本地汇接与一级、二级汇接中心的链路为迂回路由

九、路由选择

(一)路由选择原则为

(1)PSTN用户呼叫移动用户时,尽可能快进入移动网查询路由;

(2)移动用户呼叫PSTN用户,立即进入PSTN,由PSTN进行接续。

(二)国内呼叫接续

(1)移动用户呼叫PSTN用户

A.始呼MSC分析被叫号码为PSTN用户,则立即从始发地通过接口局GWm接至GWp,进入PSTN网

四川养老院的地指_移动本地本网是指什么_本少是杀手下载奇书网

(2)PSTN用户呼叫移动用户

PSTN端局根据移动业务接入号(13S),通过接口局GWp就近接入GMSC,GMSC分析,导出被叫移动用户的HLR地址信息。通过No.7信令网,从HLR得到该用户目前的位置信息,即MSRN,GMSC经移动网接续至用户所在MSC

(3)GSM用户呼叫GSM用户

始发MSC通过TMSC查询到被叫用户的路由信息MSRN,由主叫所处的MSC接续至被叫所处的被访MSC(VMSC)

四川养老院的地指_本少是杀手下载奇书网_移动本地本网是指什么

(4)国际呼叫接续

a)移动用户用为国际呼叫的主叫:始发MSC分析为国际接入码00后,则立即从始发地通过接口局进入PSTN网

b)移动用户作为国际呼叫的被叫:由国外一直接续到北京、上海、广州PSTN的国际局,就近接入移动本地的接口局,在当地GMSC进行路由查询,并建立接续

四川养老院的地指_本少是杀手下载奇书网_移动本地本网是指什么

(三)呼叫过程

(1)移动用户主呼:

a)当移动用户拨被呼用户的号码,再按“发送”键(延迟拨发)

b)系统鉴权后若允许该主呼用户接入网络,则MSC/VLR发证实接入请求消息,主呼用户发起呼叫。

c)被呼用户的链路准备好后,网络便向主呼用户发出呼叫建立证实,并分配专用业务信道TCH,主呼用户等候被呼用户响应的证实信号,即完成移动用户的主呼过程

(2)移动用户被呼:

a)被呼的移动用户的路由到达该移动用户所登记的MSC/VLR后,由该MSC/VLR向移动用户发寻呼消息

b)位置区内所有的基站都向移动用户发寻呼消息,进行一齐呼叫

c)在位置区内守听的被叫用户收到寻呼消息并立即响应,即完成移动用户的被呼过程

九、GSM移动通信网络接口模型或者叫协议模型

本少是杀手下载奇书网_四川养老院的地指_移动本地本网是指什么

说明:GSM系统的接口,其实就是对等层协议,所以说接口模型就是协议模型

(一)A接口

基站控制器BSC和MSC之间,属于固网接口。即A接口,信令协议基于CCITT的SS7.

1.网络子系统NSS与基站子系统BSS间的通信接口

2.MSC与BSC间的互连接口

3.传递的信息包括移动台管理、基站管理、移动性管理、接续管理等

4.标准的2.048Mbit/s的PCM数字传输链路实现

(二)Abis接口

1.基站子系统的两个功能实体基站控制器BSC和基站收发信台BTS间的通信接口

2.用于BTS(不与BSC并置)与BSC间的远端互连

3.支持所有向用户提供的服务,并支持对BTS无线设备的控制和无线频率的分配

4.采用标准的2.048Mbit/s或64kbit/sPCM数字传输链路实现

(三)Um接口(空中接口):

(1)移动台与基站收发信机BTS间的通信接口

(2)用于移动台与GSM系统设备间的互通

(3)通过无线链路实现

本少是杀手下载奇书网_移动本地本网是指什么_四川养老院的地指

(4)传递的信息包括无线资源管理、移动性管理和接续管理等

(四)用户与网络间的接口(Sm接口)

(1)用户与网络间的接口,用户识别卡SIM与移动终端ME间接口

(2)传递的信息包括用户对移动终端进行操作,移动终端向用户提供显示、信号音等

(五)网络子系统内部接口

(1)D接口

a)HLR与VLR间的接口

b)用于交换有关移动台位置和用户管理的信息,保证移动台在整个服务区内建立和接收呼叫

c)通过MSC与HLR间的标准2.048Mbit/s的PCM数字传输链路实现

(2)B接口

a)VLR与MSC间的内部接口

b)用于MSC向VLR询问有关移动台当前的位置信息或者通知VLR有关移动台的位置更新信息等

(3)C接口

a)HLR与MSC间的接口

b)用于传递路由选择和管理信息

(4)E接口

a)相邻区域的不同MSC间的接口

b)用于切换过程中交换有关切换信息以启动和完成切换

(5)F接口

a)MSC与EIR间的接口

b)用于交换相关的IMEI管理信息

(6)G接口

a)VLR间的接口

b)用于在采用TMSI的MS进入新的MSC/VLR服务区域时向分配TMSI的VLR询问此移动用户的IMSI信息

十、GSM系统的安全措施

(一)用户识别模块SIM

1.功能

(1)存储数据:

a)用户身份认证所需的信息,如IMSI、TMSI、用户鉴权键Ki等

b)存储安全保密有关的信息,如加密密钥Kc、密钥序号n、加密算法A3、A5、A8、个人识别码PIN、PIN码出错计数、SIM卡状态、个人解锁码PUK等

c)存储与网络和用户有关的管理数据,如PLMN代码、LAI、用户登记的通信业务等

d)存储用户的个人信息

(2)执行安全操作:

a)进行用户入网的鉴权

b)用户信息的加密

c)TMSI的更新

d)用户PIN码的操作和管理

2.组成:CPU、工作存储器RAM,程序存储器ROM、数据存储器EEPROM和串行通信单元5个模块组成

3.结构:

本少是杀手下载奇书网_移动本地本网是指什么_四川养老院的地指

4. 使用:

(1)SIM卡的安全用PIN码和PUK码保证

a)PIN码连续输错三次后SIM卡将闭锁

b)SIM卡解锁需输入正确的PUK码,PUK码连续输错10次,SIM将报废

c)用户的入网信息存在SIM卡中,而SIM卡很难仿造,可确保用户侧的信息安全

(2)SIM卡的使用有一定年限

a)物理寿命取决于用户的插拔次数,约在1万次左右

b)集成芯片的寿命取决于数据存储器的写入次数,约在5万次左右。

c)不同厂家指标不同,SIM卡的寿命也略有不同

(3)注意事项:

a)不要人为浸水

b)不要弯折SIM卡

c)不要经常插拔SIM卡

d)拆卸SIM前先关手机电源

e)SIM卡表面氧化或弄脏后,不用硬物刮擦,可用酒精清洗,也可用橡皮擦拭;

f)正确输入PIN码,当SIM卡闭锁后输入正确PUK码解锁

(4)移动设备的识别

a)确保系统中使用的移动设备都是合法的设备

b)MS申请接入时向系统发送IMEI

i.MSC/VLR将IMEI发送给EIR

ii.EIR的三个清单(白名单、黑名单、灰名单)中比对,以决定是否允许入网

(二)安全措施

(1)安全措施:

a)鉴权

b)加密

c)用户识别码的保密

d)SIM卡的安全

e)移动设备的识别

(2)参数:

a)RAND(RANDOM)128bit不可预测的随机数

b)对RAND和Ki用加密算法A3计算出符号响应SRES

c)用加密算法A8计算出加密密钥Kc .

(三)鉴权

(1)在MS登记入网和呼叫时判断是否是有权用户

(2) 过程:

a)AUC产生随机数RAND,并进行A3运算

b)RAND同时通过公共控制信道送给移动终端,在SIM卡中进行A3运算

c)运算结果在VLR中进行比较,一致则为有权用户

鉴权原理图如下:

本少是杀手下载奇书网_移动本地本网是指什么_四川养老院的地指

(四)加密

(1)在空中接口中对用户数据和信令保密

(2)过程:

a)对Ki和RAND进行A8运算产生密钥Kc.其中Ki和RAND参数和鉴权过程中使用的参数相同,产生密钥分别存储在网络侧和用户侧。

b)根据加密启动指令,移动用户和基站便开始用Kc和TDMA帧号产生加密序列

c)用摩尔加原理对无线路径上传送的比特流进行加密或解密

加密原理图:

四川养老院的地指_本少是杀手下载奇书网_移动本地本网是指什么

(五)用户识别码的保密

(1)为防止IMSI被窃取,由VLR分配TMSI代替IMSI在空中传输,并不断更新

(2)TMSI的更新

四川养老院的地指_本少是杀手下载奇书网_移动本地本网是指什么

十一、GSM的基本业务

(1)电话业务

a)提供移动用户与固定网用户间的实时双向通话

b)提供两个移动用户间的实时双向通话

(2)紧急呼叫业务

a)优先于其它业务

b)在移动用户没有插入SIM卡时也可使用

(3)短消息业务

a)在移动电话上直接发送和接收文字或数字消息

b)包括移动台间点对点的短消息业务,以及小区广播式短消息业务

(4)语音信箱业务

a)按声音信息归属于某用户来存储声音信息,用户可根据自己的需要随时提取

b)三种操作:

用户留言;

用户以自己的GSM移动电话提取留言;

用户以其他电话提取留言;

(5)传真和数据通信业务

a)收发传真、阅读电子邮件、访问、登录远程服务器等

十二、GSM的补充业务

(一)用户在使用补充业务前,应在归属局申请使用手续,在获得某项补充业务的使用权后才能使用

(二)系统按用户的选择提供补充业务,用户可随时通过移动电话通知系统为自己提供或删除某项具体的补充业务

(三)操作

(1)激活补充业务(从现在开始本移动电话使用某项补充业务)

(2)删除补充业务(从现在开始本移动电话暂不使用原已激活的某项补充业务)

(3)查询补充业务

(四)类型:

(1)号码识别补充业务类

a)主叫号码识别显示

b)主叫号码识别限制

c)被连号码识别显示

d)被连号码识别限制

(2)呼叫提供类补充业务

a无条件呼叫转移

b遇忙呼叫转移

c无应答呼叫转移

d不可及呼叫转移

(3)呼叫限制类补充业务

a闭锁所有出呼叫

b闭锁所有国际出呼叫

c闭锁除归属PLMN国家外所有国际出呼叫

d闭锁所有入呼叫

e当漫游出归属PLMN国家后,闭锁入呼叫

(4)呼叫完成类补充业务

a呼叫等待

b呼叫保护

c至忙用户的呼叫完成

(5)多方通信类补充业务(如三方通信)

(6)集团类补充业务(如移动虚拟网)

(7)计费类补充业务