整合营销服务商

电脑端+手机端+微信端=数据同步管理

免费咨询热线:

软件工程之PERT图和项目活动图考点(软考中级)

文章目录

1.软件项目管理 1.1 PERT图

(1)学习目标

1.会计算最早时刻

2.会计算最晚时刻

3.会计算松弛时间

4.会计算关键路径

(2)PERT概述

PERT图是一个有向图,图中的箭头表示任务,它可以标上完成任务所需要的时间。图中的结点表示流入结点的任务的结束,并开始流出结点的任务,这里把结点成为事件。只有当流入该结点的所有任务都结束了,节点所表示的时间才出现,流出结点的任务才开始。事件本身不消耗时间和资源,它仅表示某个时间点,一个事件有一个事件号和出现该事件的最早时间和最迟时刻。最早时刻表示此时刻之前从该事件出发的任务不可能开始;最迟时刻表示从该事件出发的任务必须在此时刻之前开始,否则整个工程就不能如期完成。每个任务还可以有一个松弛时间,表示在不影响整个工期前提下完成该任务有多少余地。

image-20221017083850645

最早时刻:从开头开始计算,一般首结点的开始时间为0,最早时刻为前驱最早时刻+路径上的时间=该结点最早时刻,如果遇到多个箭头指向一个结点(例如:5结点和6结点同时指向8,入度为2),即入度为n,则他的最早时刻取最大的那个值 。

​ 例如:

​ ①入度为1:对于结点2来说,它只有一个入度他的前驱结点是1,又因为首结点的最早开始时刻为0,所以2结点的最早时刻为0+2=2;相对于3来说,他的前驱结点是2,他的最早时刻为2,完成该任务的时间为4(就是路径上的数字),所以3的最早时刻为6

微博虚假活动曝光平台_虚活动算关键路径吗_关键路径上可以有虚假活动

​ ②入度为n:对于结点8来说,他的入度为2,如果计算他的最早时刻,取计算值为最大的那个,如下图,计算8结点时,一个是12,另一个是14,14大于12,所以最后8的开始结点为14

image-20221017084801343

==最晚时刻:==从末尾往前推,首先要把最早时刻的尾结点的最早时刻计算出来,然后另尾结点的最早时刻和最晚时刻相等。于是尾结点的最迟时刻就有了,然后就可以依次往前推,如果遇到多个结点对应一个结点(例如3节点和4结点同时指向2)取最小的那个

==松弛时间:==就是不耽误任务按照如期时间完成,可以摸鱼的时间,计算方式,对于某个结点来说,他的最早时刻和最晚时刻不相同,他俩相减就是松弛时间,但是也有特殊情况,就是一个结点对应两个结点,对于一个结点来说,那个时间刚好完成任务,但是对于另一个结点来说,从这个时刻开始,还有多余的时间用来摸鱼(例如4结点到6结点和7结点),这样的可以分别计算。

关键路径:就是为了不耽误工期,一天都不能摸鱼的,即松弛时间为0的那一条路径:如图所示,关键路径为1–>2–>4–>6–>8–>10–>11

image-20221017090719461

PERT图视频讲解

1.2 项目活动图

1.知道怎么计算最早时刻

2.知道怎么计算最晚时刻

3.掌握松弛时间计算

4.掌握关键路径求解

虚活动算关键路径吗_关键路径上可以有虚假活动_微博虚假活动曝光平台

5.掌握关键路径长度

6.掌握某个顶点或者活动是否在关键路径上

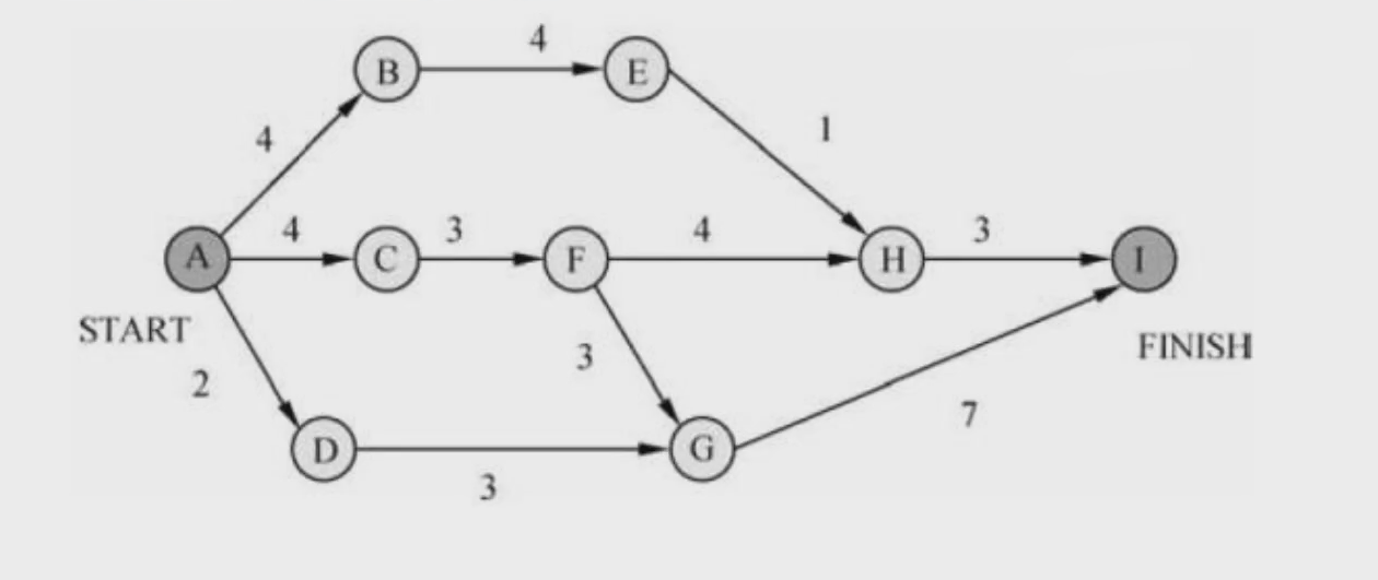
下图是一个软件项目的活动图,其中顶点表示项目里程碑,连接顶点的边表示活动,边上的值表示完成活动所需要的时间

image-20221017091649229

这个模型的最早时间,最晚时间,松弛时间,关键路径计算方式和PERT图的计算方式相同,这里我只提一点关键路径的长度和某个顶点或者活动是否在关键路径上的计算。

==关键路径的长度:==尾结点完成任务的最早时刻(下图的关键长度为17)

某个顶点或者活动是否在关键路径上:首先找出关键路径的点和路径,不在这上面的点或者线就不是在关键路径上。(该图的关键路径是A—>C—>F—>G—>I,不在这里面的是非关键路径点或者路关键径)

image-20221017092120305

在这里面的是非关键路径点或者路关键径)

image-20221017092120305

活动图视频讲解

项目:小型局域网的搭建(基础知识+案例)

项目1 信息技术基础应用

任务3 小型局域网搭建

计算机网络,是指将地理位置不同的具有独立功能的多台计算机及其外部设备,通过通信线路连接起来,在网络操作系统,网络管理软件及网络通信协议的管理和协调下,实现资源共享和信息传递的计算机系统。

互联网()又称因特网,即广域网、城域网、局域网及单机按照一定的通讯协议组成的国际计算机网络。互联网是指将两台计算机或者是两台以上的计算机终端、客户端、服务端通过计算机信息技术的手段互相联系起来的结果,人们可以与远在千里之外的朋友相互发送邮件、共同完成一项工作、共同娱乐。同时,互联网还是物联网的重要组成部分,根据中国物联网校企联盟的定义,物联网是当下几乎所有技术与计算机互联网技术的结合,让信息更快更准得收集、传递、处理并执行

1.3.2 任务描述

为了便于和同学们在一起共同讨论学习,交流心得,共享资源等,王明同学需要动手创建一个独立的宿舍局域网,所以便在模拟器下搭建了一个拓扑图,拓扑图如下:

在这里插入图片描述

1.3.2 任务分析

要完成本项工作任务,需要进行以下操作。

(1)按照拓扑图搭建拓扑

(2)理解交换机路由器的基本概念和功能

(3)创建宽带网络连接。

(4)可以正常访问外网

该工作任务的实施,要求操作人员必须了解交换机路由器的基本概念和功能

并且理解的基本知识,,并掌握宽带连接的创建操作,这样才能将个人计算机通过宿舍局域网接入。

1.3.3 任务实现

一、 必备知识

1.计算机网络的分类

计算机网络的分类标准有很多种,主要的分类标准有根据网络所使用的传输技术分类、

根据网络的拓扑结构分类、根据网络协议分类等。各种分类标准只能从某一方面反映网络的特征。根据网络覆盖的地理范围和规模分类是最普遍采用的分类方法,它能较好地反映出网络的本质特征。由于网络覆盖的地理范围不同,它们所采用的传输技术也就不同,因此形成不同的网络技术特点与网络服务功能。依据这种分类标准,可以将计算机网络分为三种:局域网、城域网和广域网。

计算机网络的问题与解决方法_计算机关网络问题有哪些方面_有关计算机网络的问题

在这里插入图片描述

在这里插入图片描述

2.网络拓扑结构

按照拓扑学的观点,将主机、交换机等网络设备单元抽象为“点”,网络中的传输介质抽象为“线”,那么计算机网络系统就变成了由点和线组成的几何图形,它表示了通信介质与各结点的物理连接结构。这种结构称为计算机网络拓扑结构。

按照网络中各结点位置和布局的不同,计算机网络可分为星型拓扑、环型拓扑、总线型拓扑、树型拓扑、网状拓扑和混合型拓扑等网络类型,如图所示。

在这里插入图片描述

网络基本拓扑结构图

现今网络中,和广域网都采用网状型拓扑结构;而大多数局域网都采用树型拓扑结构,也就是多个层次的星型网络纵向连接而成。

3.TCP/IP协议

TCP/IP协议( / )叫做传输控制协议,又叫网络通讯协议,这个协议是国际互联网络的基础。

TCP/IP是网络中使用的基本的通信协议。虽然从名字上看TCP/IP包括两个协议,传输控制协议(TCP)和网际协议(IP),但TCP/IP实际上是一组协议,它包括上百个各种功能的协议,如:远程登录、文件传输和电子邮件等,而TCP协议和IP协议是保证数据完整传输的两个基本的重要协议。通常说TCP/IP是协议族,而不单单是TCP和IP。

TCP/IP是用于计算机通信的一组协议,我们通常称它为TCP/IP协议族。它是70年代中期美国国防部为其ARPANET广域网开发的网络体系结构和协议标准,以它为基础组建的是目前国际上规模最大的计算机网络,正因为的广泛使用,使得TCP/IP成了事实上的标准。

之所以说TCP/IP是一个协议族,是因为TCP/IP协议包括TCP、IP、UDP、ICMP、RIP、、SMTP、ARP、TFTP等许多协议,这些协议一起称为TCP/IP协议。以下我们对协议族中一些常用协议英文名称和用途作一介绍:

TCP( Control )传输控制协议

IP( )网间网协议

UDP(User )用户数据报协议

ICMP( Control Message )互联网控制信息协议

SMTP(Simple Mail )简单邮件传输协议

SNMP(Simple Network manage )简单网络管理协议

有关计算机网络的问题_计算机网络的问题与解决方法_计算机关网络问题有哪些方面

FTP(File )文件传输协议

ARP(Address )地址解析协议

在这里插入图片描述

数据链路层包括了硬件接口和协议ARP,RARP,这两个协议主要是用来建立送到物理层上的信息和接收从物理层上传来的信息;

网络层中的协议主有IP,ICMP,IGMP等,由于它包含了IP协议模块,所以它是所有机遇TCP/IP协议网络的核心。在网络层中,IP模块完成大部分功能。ICMP和IGMP以及其他支持IP的协议帮助IP完成特定的任务,如传输差错控制信息以及主机/路由器之间的控制电文等。网络层掌管着网络中主机间的信息传输。

传输层上的主要协议是TCP和UDP。正如网络层控制着主机之间的数据传递,传输层控制着那些将要进入网络层的数据。两个协议就是它管理这些数据的两种方式:TCP是一个基于连接的协议;UDP则是面向无连接服务的管理方式的协议。

 Telnet:提供远程登录(终端仿真)服务。
 FTP :提供应用级的文件传输服务,说的简单明了点就是远程文件访问等等服务。
 SMTP:不用说拉,天天用到的电子邮件协议。
 TFTP:提供小而简单的文件传输服务,实际上从某个角度上来说是对FTP的一种替换(在文件特别小并且仅有传输需求的时候)。
 SNTP:简单网络管理协议。看名字就不用说什么含义了吧。
 DNS:域名解析服务,也就是如何将域名映射城IP地址的协议。
 HTTP:不知道各位对这个协议熟不熟悉啊?这是超文本传输协议。

那么我现在为大家详细的解释OSI七层模型,以及对应的功能

物理层:建立、维护、断开物理连接。

数据链路层:控制网络层与物理层之间的通信,解决的是所传输数据的准确性的问题。为了保证传输,从网络层接收到的数据被分制成特定的可悲物理层。传输的帧。帧是用来一栋数据的结构包,他不仅包括原始数据,还包括发送方和接收方的物理地址以及纠错和控制的信息。其中的地址确定了帧将发送的。位置,纠错和控制信息则保证帧的准确到底。如果传送数据的过程中,接收点检测到数据有错误,就通知发送方重新发送一帧。

该层的作用包括了物理地址寻址